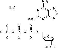
Tocris 2-Methylthioadenosine triphosphate tetrasodium salt, 10 mg

RDS106210
By clicking 'Accept All' you consent that we may collect information about you for various purposes, including: Functionality, Statistics and Marketing